№1066 ГДЗ Атанасян 7-9 класс по геометрии (Геометрия)

Решение #1

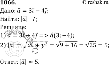
Изображение №1066 ГДЗ Атанасян 7-9 класс по геометрии

Рассмотрим вариант решения задания из учебника Атанасян, Бутузов 9 класс, Просвещение:
Найдите длину вектора a = 3i-4j, где i и j— координатные векторы.
*Цитирирование задания со ссылкой на учебник производится исключительно в учебных целях для лучшего понимания разбора решения задания.
*размещая тексты в комментариях ниже, вы автоматически соглашаетесь с пользовательским соглашением