№1096 ГДЗ Атанасян 7-9 класс по геометрии (Геометрия)
Решение #1
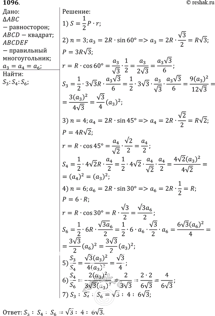
Рассмотрим вариант решения задания из учебника Атанасян, Бутузов 9 класс, Просвещение:
Стороны правильного треугольника, квадрата и правильного шестиугольника равны друг другу. Найдите отношения площадей этих многоугольников.
*размещая тексты в комментариях ниже, вы автоматически соглашаетесь с пользовательским соглашением