Упр.2.20 ГДЗ Мордковича 11 класс профильный уровень (Алгебра)
Решение #1
Решение #2(записки учителя)
Решение #3(записки школьника)

Рассмотрим вариант решения задания из учебника Мордкович, Семенов 11 класс, Мнемозина:
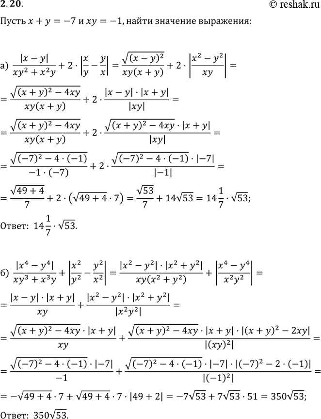
2.10. Пусть х + у = -7, а ху = -1. Найдите значение выражения:
а)|х-у|/ху2 + х2у+2*|x/y-y/x\|;
б)((X4 - у4)/(xy3+x3y))+(|(x2/y2)-(y2/x2)\
|
*размещая тексты в комментариях ниже, вы автоматически соглашаетесь с пользовательским соглашением