Упр.9.1 ГДЗ Мордкович 10-11 класс (Алгебра)
Решение #1
Решение #2

Рассмотрим вариант решения задания из учебника Мордкович, Семенов 10 класс, Мнемозина:
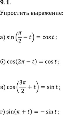
9.1 Упростите выражение:
a) sin (пи/2 - t);
б) соs (2пи - t);
в) cos (3пи/2 + t);
г) sin (пи + t).
*размещая тексты в комментариях ниже, вы автоматически соглашаетесь с пользовательским соглашением