Упр.3.1 ГДЗ Мордкович 10-11 класс (Алгебра)
Решение #1
Решение #2

Рассмотрим вариант решения задания из учебника Мордкович, Семенов 10 класс, Мнемозина:
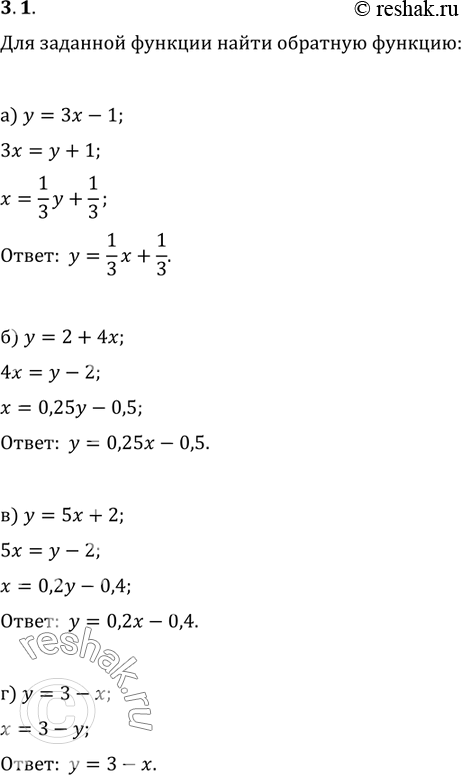
3.1 Для заданной функции найдите обратную функцию:
а) у = Зх - 1;
б) y = 2 + 4х;
в) у = 5х + 2;
г) у = 3 - х.
*размещая тексты в комментариях ниже, вы автоматически соглашаетесь с пользовательским соглашением