Упр.785 ГДЗ Макарычев Миндюк 9 класс (Алгебра)
Решение #1
Решение #2

Рассмотрим вариант решения задания из учебника Макарычев, Миндюк, Нешков 9 класс, Просвещение:
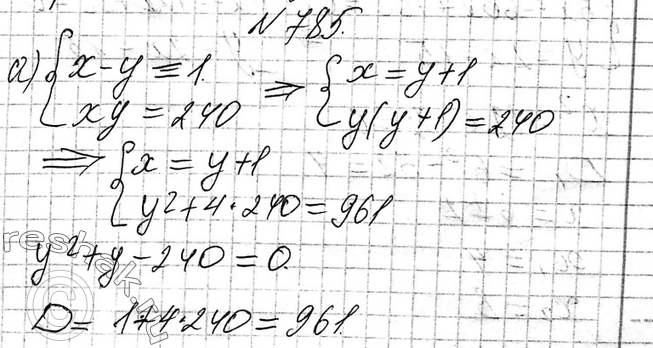
785. Решите систему уравнений:
а) система
x-y=1,
xy=240;
б) система
x2+y2=65,
2x-y=15.
*размещая тексты в комментариях ниже, вы автоматически соглашаетесь с пользовательским соглашением