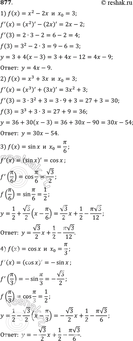
Упр.877 ГДЗ Алимов 10-11 класс (Алгебра)
Решение #1
Решение #2

Рассмотрим вариант решения задания из учебника Алимов, Колягин, Ткачёва 11 класс, Просвещение:
877 Написать уравнение касательной к графику функции в точке с абсциссой х0:
1) у = х2 - 2х, х0 = 3;
2) у = х3 + 3х, х0 = 3;
3) у = sin х, х0 = пи/6;
4) y = cos х, х0 = пи/3.
*размещая тексты в комментариях ниже, вы автоматически соглашаетесь с пользовательским соглашением