Упр.789 ГДЗ Алимов 10-11 класс (Алгебра)
Решение #1
Решение #2

Рассмотрим вариант решения задания из учебника Алимов, Колягин, Ткачёва 11 класс, Просвещение:
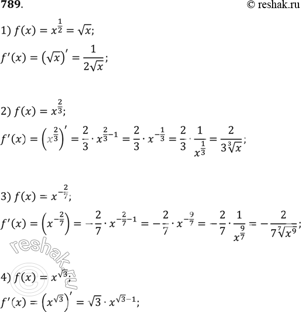
788 1) x1/2; 2)x2/3; 3) x^-2/7; 4) x^кореь 3.
*размещая тексты в комментариях ниже, вы автоматически соглашаетесь с пользовательским соглашением