Упр.674 ГДЗ Алимов 10-11 класс (Алгебра)
Решение #1
Решение #2

Рассмотрим вариант решения задания из учебника Алимов, Колягин, Ткачёва 10 класс, Просвещение:
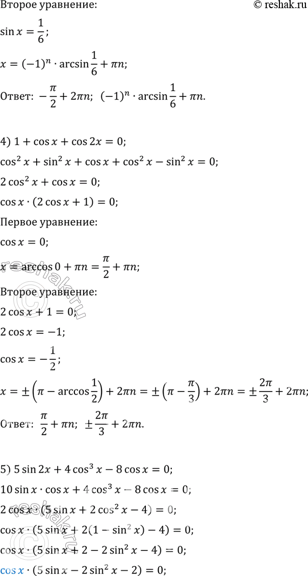
674 1) sin2 x - cos x cos 3x =1/4;
2) sin 3x = 3 sin x;
3) 3 cos 2x - 7 sin x - 4;
4) 1 + cos x + cos 2x = 0;
5) 5 sin 2x + 4 cos3 x - 8 cos x = 0.
*размещая тексты в комментариях ниже, вы автоматически соглашаетесь с пользовательским соглашением