Упр.502 ГДЗ Алимов 10-11 класс (Алгебра)
Решение #1
Решение #2

Рассмотрим вариант решения задания из учебника Алимов, Колягин, Ткачёва 10 класс, Просвещение:
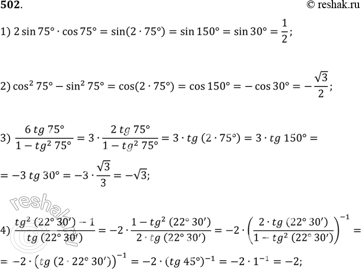
502 1) 2 sin 75° * cos 75°;
2) cos2 75° - sin2 75°;
3) 6 tg 75°/(1-tg2 75°);
4) (tg2 22°30'-1)/ tg2 22°30'.
*размещая тексты в комментариях ниже, вы автоматически соглашаетесь с пользовательским соглашением