Упр.235 ГДЗ Алимов 10-11 класс (Алгебра)
Решение #1
Решение #2

Рассмотрим вариант решения задания из учебника Алимов, Колягин, Ткачёва 10 класс, Просвещение:
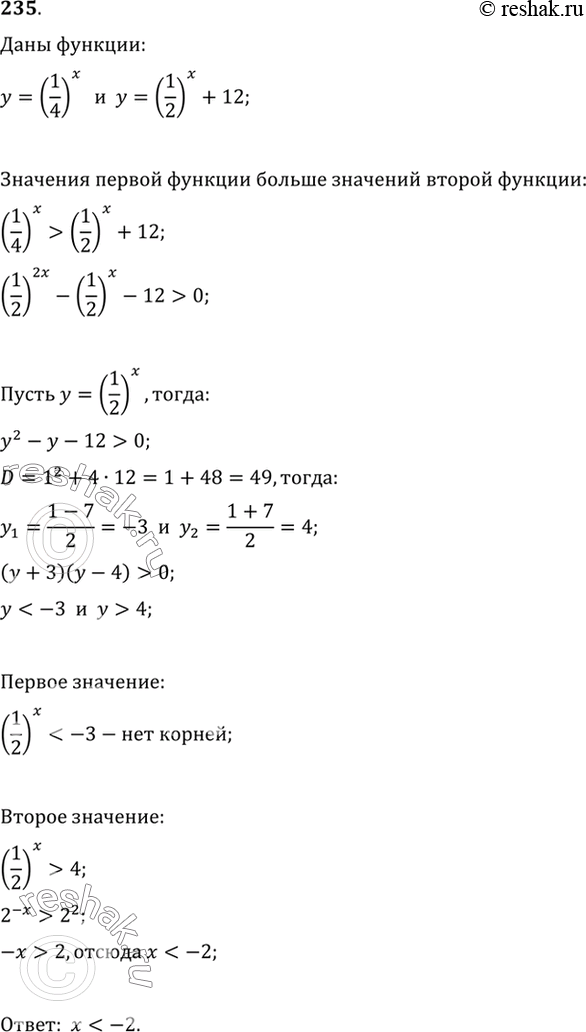
235 При каких значениях х значения функции у = (1/4)x больше значений функции у = (1/2)x + 12?
*размещая тексты в комментариях ниже, вы автоматически соглашаетесь с пользовательским соглашением