Упр.217 ГДЗ Алимов 10-11 класс (Алгебра)
Решение #1
Решение #2

Рассмотрим вариант решения задания из учебника Алимов, Колягин, Ткачёва 10 класс, Просвещение:
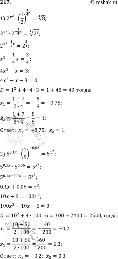
217. 1) 2^x2* (1/2)^1/4x = корень 4 степени 8;
2) 5^0,1x*(1/5)^-0,06 = 5^x2;
3)(1/2)^(корень (1-x)) * (1/2)^-1 = (1/2)2x;
4) 0,7^(корень (x+12) * 0,7 ^-2 =0,7^корень x.
*размещая тексты в комментариях ниже, вы автоматически соглашаетесь с пользовательским соглашением