№1087 ГДЗ Атанасян 7-9 класс по геометрии (Геометрия)

Решение #1

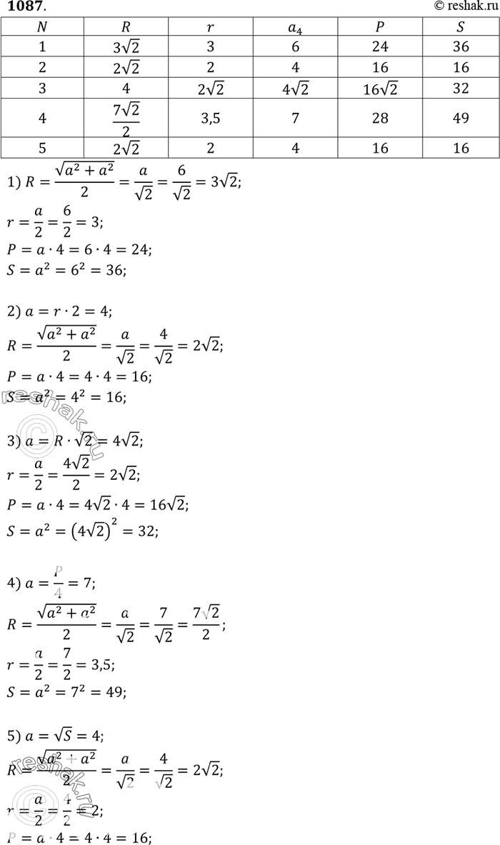
Изображение На рисунке 311, а изображён квадрат, вписанный в окружность радиуса R. Перечертите таблицу в тетрадь и заполните пустые...

Рассмотрим вариант решения задания из учебника Атанасян, Бутузов 9 класс, Просвещение:
На рисунке 311, а изображён квадрат, вписанный в окружность радиуса R. Перечертите таблицу в тетрадь и заполните пустые клетки
*Цитирирование задания со ссылкой на учебник производится исключительно в учебных целях для лучшего понимания разбора решения задания.
*размещая тексты в комментариях ниже, вы автоматически соглашаетесь с пользовательским соглашением