№1057 ГДЗ Атанасян 7-9 класс по геометрии (Геометрия)

Решение #1

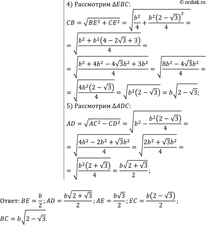
Изображение В равнобедренном треугольнике ABC АВ = AC = b, угол A = 30°. Найдите высоты BE и AD, а также отрезки АЕ, ЕС,...
Дополнительное изображение

Рассмотрим вариант решения задания из учебника Атанасян, Бутузов 9 класс, Просвещение:
В равнобедренном треугольнике ABC АВ = AC = b, угол A = 30°. Найдите высоты BE и AD, а также отрезки АЕ, ЕС, ВС.
*Цитирирование задания со ссылкой на учебник производится исключительно в учебных целях для лучшего понимания разбора решения задания.
*размещая тексты в комментариях ниже, вы автоматически соглашаетесь с пользовательским соглашением