Упр.9.7 ГДЗ Мерзляк 10 класс Базовый уровень (Алгебра)
Решение #1

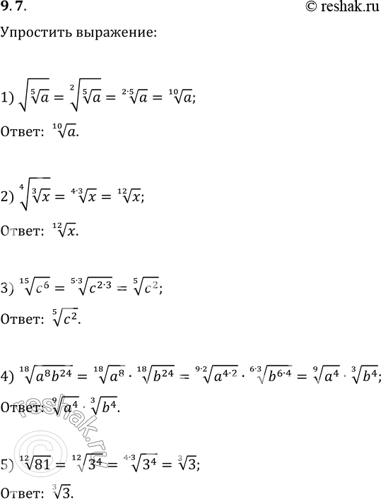
Рассмотрим вариант решения задания из учебника Мерзляк, Номировский, Полонский 10 класс, Вентана-Граф:
9.7. Упростите выражение:
1) va^(1/5); 2) (x^(1/3))^(1/4); 3) (c^6)^(1/15);
4) (a^8 b^24)^(1/18); 5) 81^(1/12).
*размещая тексты в комментариях ниже, вы автоматически соглашаетесь с пользовательским соглашением