Упр.545 ГДЗ Муравин 7 класс (Алгебра)
Решение #1

Рассмотрим вариант решения задания из учебника Муравин, Муравина 7 класс, Дрофа:
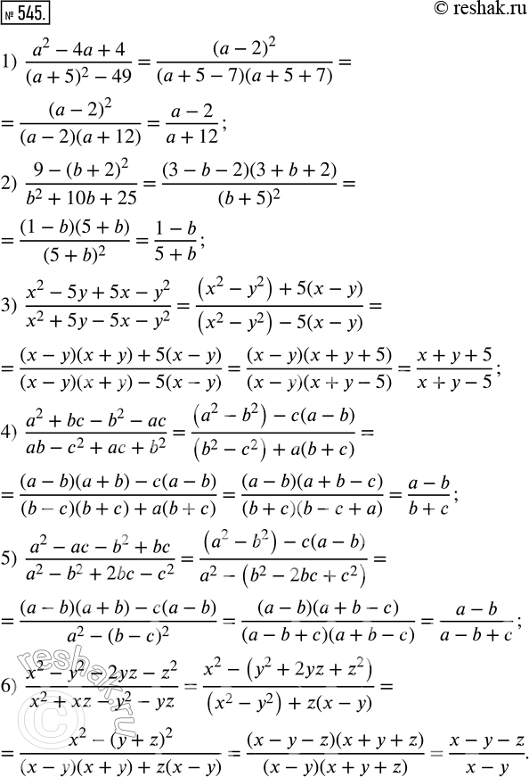
545. Сократите дробь:
1) (a^2 - 4a + 4)/((a + 5)^2 - 49);
2) (9 - (b + 2)^2)/(b^2 + 10b + 25);
3) (x^2 - 5y + 5x - y^2)/(x^2 + 5y - 5x - y^2);
4) (a^2 + bc - b^2 - ac)/(ab - c^2 + ac + b^2);
5) (a^2 - ac - b^2 + bc)/(a^2 - b^2 + 2bc - c^2);
6) (x^2 - y^2 - 2yz - z^2)/(x^2 + xz - y^2 - yz).
*размещая тексты в комментариях ниже, вы автоматически соглашаетесь с пользовательским соглашением