Упр.493 ГДЗ Муравин 7 класс (Алгебра)
Решение #1

Рассмотрим вариант решения задания из учебника Муравин, Муравина 7 класс, Дрофа:
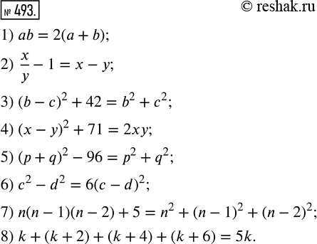
493. Запишите в виде равенства, что:
1) произведение чисел а и b равно их удвоенной сумме;
2) частное чисел х и у на 1 больше их разности;
3) квадрат разности чисел b и с на 42 меньше суммы их квадратов;
4) квадрат разности чисел х и у на 71 меньше их удвоенного произведения;
5) квадрат суммы чисел р и q на 96 больше суммы их квадратов;
6) разность квадратов чисел с и d в 6 раз больше квадрата их разности;
7) произведепие трёх последовательных натуральных чисел, большее из которых n, на 5 меньше суммы их квадратов;
8) сумма четырёх последовательных чётных чисел в 5 раз больше меньшего из них, равного k.
*размещая тексты в комментариях ниже, вы автоматически соглашаетесь с пользовательским соглашением