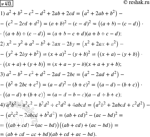
Упр.413 ГДЗ Муравин 7 класс (Алгебра)
Решение #1

Рассмотрим вариант решения задания из учебника Муравин, Муравина 7 класс, Дрофа:
413. Разложите на множители:
1) а^2 + b^2 — с^2 — d^2 + 2ab + 2cd;
2) х^2 - у^2 + а^2 - b^2 + 2ах - 2by;
3) а^2 - b^2 - с^2 + d^2 - 2ad - 2bc;
4) a^2 b^2 - a^2 c^2 - b^2 d^2 + c^2 d^2 + 4abcd.
*размещая тексты в комментариях ниже, вы автоматически соглашаетесь с пользовательским соглашением