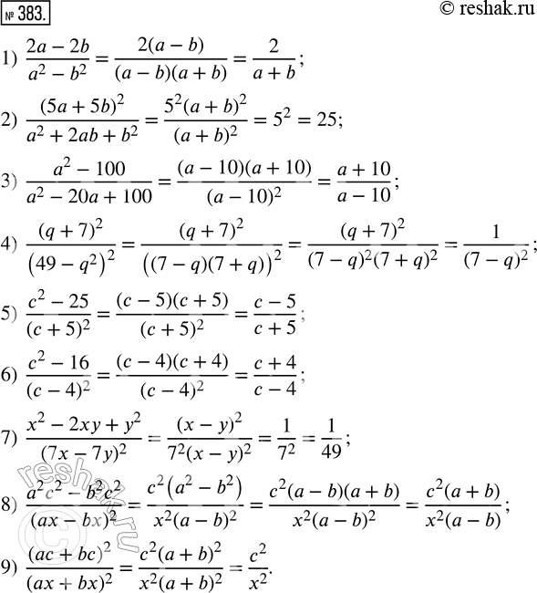
Упр.383 ГДЗ Муравин 7 класс (Алгебра)
Решение #1

Рассмотрим вариант решения задания из учебника Муравин, Муравина 7 класс, Дрофа:
383. Сократите дробь:
1) (2a - 2b)/(a^2 - b^2);
2) (5a + 5b)^2/(a^2 + 2ab + b^2);
3) (a^2 - 100)/(a^2 - 20a + 100);
4) (q + 7)^2/(49 - q^2)^2;
5) (c^2 - 25)/(c + 5)^2;
6) (c^2 - 16)/(c - 4)^2;
7) (x^2 - 2xy + y^2)/(7x - 7y)^2;
8) (a^2 c^2 - b^2 c^2)/(ax - bx)^2;
9) (ac + bc)^2/(ax + bx)^2.
*размещая тексты в комментариях ниже, вы автоматически соглашаетесь с пользовательским соглашением